(재)순천공고동문장학회 기부금 후원 현황(기준일 2024.07.31.) > 장학금 기부내역

본문 바로가기

장학금 기부내역

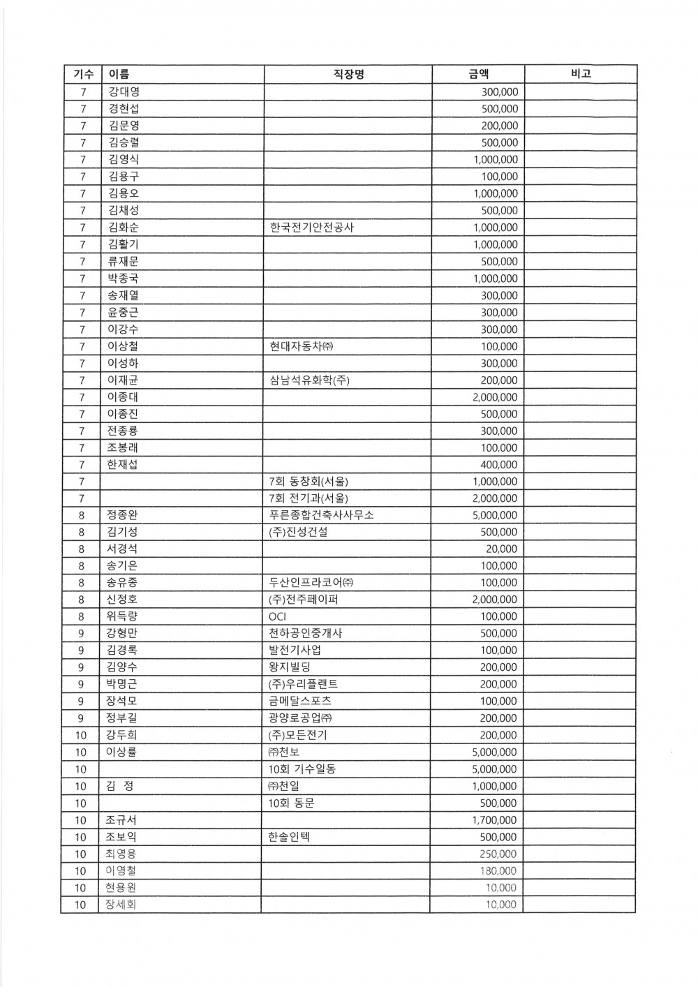
(재)순천공고동문장학회 기부금 후원 현황(기준일 2024.07.31.)

페이지 정보

profile_image
작성자 총동문회
댓글 0건 조회 1,626회 작성일 21-03-19 11:47

본문


f742cb642d82a8398d8b0893145bec83_1723001376_6104.jpg
f742cb642d82a8398d8b0893145bec83_1723001376_8327.jpg
f742cb642d82a8398d8b0893145bec83_1723001377_0701.jpg
f742cb642d82a8398d8b0893145bec83_1723001377_2484.jpg
f742cb642d82a8398d8b0893145bec83_1723001377_4445.jpg
f742cb642d82a8398d8b0893145bec83_1723001377_9559.jpg
f742cb642d82a8398d8b0893145bec83_1723001378_1545.jpg

댓글목록

등록된 댓글이 없습니다.


주소 순천시 해룡면 송산5길 17 순천공고총동문회관
총동문회 후원계좌 농협 351-1105-0505-33 순천공업고등학교총동창회
TEL 061-722-4161 FAX 061-722-8316 E-mail sungong2012@hanmail.net
회원수
120
오늘 접속자수
602
전체 접속자수
668,790
Copyright © 순천공업고등학교 총동문회. All rights reserved.